Liudmila Baș
Matematica - X-a
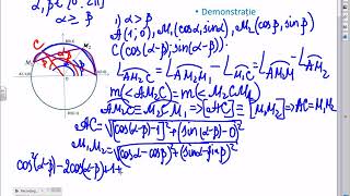
Matematica clasa X: Elemente de trigonometrie. Lectia 10: Transformările expresiilor trigonometrice.
Învață cu mentor cu Inteligența Artificială
Publicat 4/15/2020



































